Friday, February 28, 2014

Budish, Cramton and Shim on High Frequency Trading

Today I taught a really nice paper to my MBA class, "The High-Frequency Trading Arms Race" by Eric Budish, Peter Cramton and John Shim. I've been fascinated by high frequency trading for a while (Some previous posts in the new "trading" label on the right.)

Eric, Peter and John look at the arbitrage between the Chicago S&P500 e-mini future and the New York S&P500 SPDR.  This is a nice case, because there are no fancy statistical strategies involved: high speed traders simply trade on short-run deviations between these two essentially identical securities. Some cool graphs capture the basic message.

First, we get to look at the quantum-mechanical limits of asset pricing. At a one hour frequency, the two securities are perfectly correlated.

But as we look at finer and finer time intervals, price changes become less and less correlated.  If the ES rises in Chicago, somebody has to send a buy message to New York. We write down Brownian motions for convenience, but when you actually look at very high frequency they break down.

It's not obvious this activity "adds liquidity." If you leave a SPY limit order standing, then the fast traders will pick you off when they see the ES rise before you do. The authors  call this "sniping."

You can see the more jagged ES price. According to authors, it seems that Chicago is where the "price discovery" happens, as the Chicago prices lead New York. The New York SPY includes dividends, which the Chicago futures do not, so New York is the natural home of "long term" traders. Once again, we see the interesting pattern of one market for "price discovery," and then that price communicates to another market.

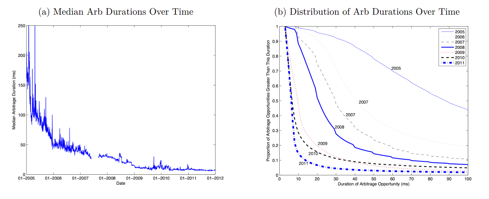
How has high frequency trading affected the market? On the left, they plot correlation as a function of time interval over time. In 2005, the correlation of price changes was still zero at 100 ms. By 2011, 100ms price changes rose to 0.5 correlation, and the correlation stayed pretty good down to 40 ms.  The boundary of high correlation got shorter and shorter.

Next, they calculate potential arbitrage opportunities: times when the price difference exceeds the bid-ask spread. They also calculate how long those opportunities last. As you can see below, the effect of high frequency trading has been to dramatically reduce the duration of arbitrage opportunities. Once the prices diverge by more than the bid-ask spread, in 2005 that divergence could last 100 ms. Now, that divergence seldom lasts more than 10 ms.
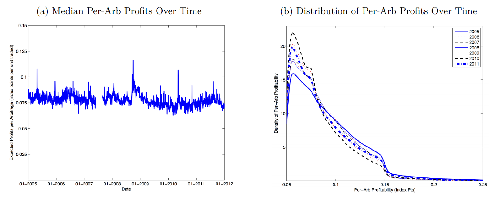
You might think that the profitability of arbitrage has declined. In one sense it has not:
These are the profits per opportunity, essentially a measure of how wide the price spreads are independently of how long they last. The price dispersion seems to be the same as ever, it just goes away much more quickly than it used to.

In sum, we get here a very clean case of what high frequency trading does and how it affects prices in one market.  It is lovely to see the effect of "arbitrageurs" making markets "more efficient."

But is this efficiency really worth it? Does society really gain enough from having New York SPDR prices reflect Chicago future prices 100 ms sooner, to justify laying ever faster cable between the two places? Does high frequency trading make markets "more liquid" or just "more efficient?"

The theory part of the paper examines the "arms race" of high frequency trading. That race is especially clear here. If others trade this opportunity at 10 ms, and you can get there in 9 ms, you get to pick off all the stale quotes and leave the other traders nothing. In turn, this arms race results because both markets are limit order books in which you get everything if you place an order one nanosecond before the other guy, yet prices must be discrete. Classic economics predicts an overinvestment in speed in that game.

The theory part of the paper explores this arms race game and a natural proposal: Why not have an auction once per second? You submit anonymous bids, and once per second supply equals demand.

This means that people submitting the same price may have to share fulfillment of the order, and wait a second if they want to buy more. I'm all for efficient markets, but maybe one second is efficient enough.

Put another way, if it is advantageous to specify a minimum tick size, so prices become discrete, maybe it is advantageous to specify a minimum time interval as well. Computers operate on a "clock" so that all the signals settle down before information is transferred. That might be a good design for markets as well.  The main question I can see is how this impacts simultaneous orders put in different places.

Hopefully, I can summarize the theory in a future post.


28 comments:

  1. John - That is an excellent paper, thanks for sharing. One quibble with your post: S&P futures do include dividends...not explicitly, but via a larger spread between the futures and spot price, which converges towards expiry.

    ReplyDelete
  2. Very interesting. I have seen another paper that says as trade speeds up, there is more divergence in price-so HFT traders have an economic incentive to speed the market. I have traded for 25 years. The emergence of electronic trading should have created a level playing field. Instead, it's dramatically changed the landscape, creating two or three markets within one. Exchanges charge to co-locate next to servers-so there is the HFT market. Then there is the next level of market-the pro traders that have access to information-and the third level is everyone else.

    In the old days of pit trading, members paid for a seat on the exchange and then physically fought to get a spot in the pit next to order flow. That was "co-location". Exchanges took the surplus previously enjoyed by members (seats were $1M) and transferred it to their own bottom line.

    Additionally, between the regulatory environment on the SEC side, and the way the Futures exchanges structured things-they created a tiered market system that favors the big guys at the expense of the little guy.

    Usually, when there is electronic disruption in markets, the chain of distribution gets shorter, and customers get closer to producers. That's not the case in trading.

    ReplyDelete
  3. Please tell me why this is relevant

    ReplyDelete
  4. this is non-sensical. First of all, what is the negative externality here? Private money is being spent in the speed competition. How is this different than competition for 2500 types of cheese at the supermarket? Isn't there a theorem that says if it's profitable, in a capitalist economy, unless there are demonstrable negative externalities, it's by definition socially useful.

    As to correlation "changing" - this is also nonsense - it's an artifact of sampling methodology. The correlation doesn't change at higher frequency, if you correctly sample the two securities,

    Finally, this proposal is sure to make market making activities more risky and thus the market less liquid. Since the world evolves in real time, if I can't quote in true real time, I face additional risk that I will not be able to post an accurate quote relative to current state of the world for some amount of time, however small. Thus, I will have to make my quotes wider to account for the higher risk.

    I would say this is a really bad paper, masquerading as a good one.

    ReplyDelete
    Replies
    1. "First of all, what is the negative externality here?"

      I think John hinted at the negative externality. The arms race produces a situation where market access is segmented. The markets could become flooded with sellers with no buyers or buyers with no sellers for a brief instant in time.

      Is it socially beneficial to have buyers without sellers or sellers without buyers?

      One line from John that struck me as odd:

      "This means that people submitting the same price may have to share fulfillment of the order, and wait a second if they want to buy more. I'm all for efficient markets, but maybe one second is efficient enough."

      How is John measuring the efficiency of the market to make the determination that "one second is efficient enough"?

      Another line:

      "Put another way, if it is advantageous to specify a minimum tick size, so prices become discrete, maybe it is advantageous to specify a minimum time interval as well."

      Why is it advantageous to have discrete pricing? More to the point, why is it advantageous to have a discrete monetary system? The smallest unit of U. S currency is the cent. In a digital money age, why should the monetary system have smallest unit?

      In a deflationary scenario, a discrete money system has a significant disadvantage - some good that once cost a penny, now costs half a penny, but a half penny does not exist. And so a person who wants to purchase that good must buy at least two of them even if he / she wishes to purchase only one.

      Delete
    2. "Finally, this proposal is sure to make market making activities more risky and thus the market less liquid. Since the world evolves in real time, if I can't quote in true real time, I face additional risk that I will not be able to post an accurate quote relative to current state of the world for some amount of time, however small. Thus, I will have to make my quotes wider to account for the higher risk."

      False. You will widen your quotes just enough to come out even on this additional risk, which means the trading cost on average is exactly the same for those who cannot see action at the scale you're operating in anyway, which is to say, nearly everyone. Whoever said market making activity should be riskless? If so why should we need market makers?

      Delete
  5. Just a small comment on the frequent batch auction proposal, which has also been made to MIFID in Europe. At least two papers - Fischer Black (1995, “Equilibrium exchanges,” Financial Analysts Journal 51, pp. 23-29) and Huberman, G. and W. Stanzl, 2004, “Quasi-arbitrage and price manipulation,” Econometrica 72, pp. 1247-1275 - study the possibility of manipulating sequences of batch auctions. They point out that one 10,000 share order should move prices by roughly same amount as ten 1,000 share orders, particularly when the auctions occur frequently. This implies that permanent price impact must be proportional to market order size or traders could reliably profit over time by establishing a large position that is then reversed with a series of smaller orders in a sequence of batch auctions (and vice versa). So the Budish et al. market can be easily manipulated. Randomization can help but probably not too much if the auctions are frequent.

    I do think that the social costs of HFT are much smaller than you do.

    ReplyDelete
  6. Spot on! I've long thought that a certain time delay should be required, so that (as noted by pointsandfigures) physical (electrical) proximity doesn't matter. Imagine (as you indicated) how poorly your PC would work if the CPU and all devices on the motherboard (and cards plugged into it) updated the binary status of instruction or data bits asynchronously (as soon as they could), rather than wait for the next clock pulse!

    ReplyDelete
  7. If you can allow a question or two from an outsider:

    Is there any socially useful function in HFT other than to enrich the fastest at the expense of everyone else?

    Would a transaction tax bring a modicum of sanity to this furious churn?

    ReplyDelete
    Replies
    1. what is socially useful about making uneducated comments on a blog?

      Delete
  8. Is this not more evidence supporting a tax on high frequency trading, as has been widely discussed?

    ReplyDelete
    Replies
    1. Why should giving money to the government solve anything?

      Delete
  9. HFT are making a profit at the expense of whom? Dumb low frequency traders who do not monitor their bids and offers often enough and think that they need to have their portfolios exactly where they want them, instead of somewhere close enough.

    ReplyDelete
    Replies
    1. At the expense of everyone forced to pick up the risk that HFT are not taking but still profit from. Dumb low frequency traders you speak of may just be yesterday's (literally yesterday) smart high frequency trader.

      Delete
  10. Before HFT there were market markers providing liquidity in the market and extracting a pretty hefty profit in bid-ask spreads. HFT has largely replaced market makers in providing liquidity and they do it cheaper, benefiting even the small guys. Bid-ask spreads are now lower on average since HFT. If you got rid of HFT, you would bring back market makers in their place with higher costs or some other costly alternative.

    ReplyDelete
    Replies
    1. They aren't even close to market makers. They are liquidity drainers. When it gets volatile, they go away. Market makers made markets.

      Delete
    2. False. Before HFT there was electronic trading that lowered cost by competing on price and replaced human market makers. If you got rid of HFT, you would have more participation and stiffer competition in larger, less segmented electronic markets, which would further lower cost.

      Delete
  11. The 1 sec time batch order creates its own problem. You will have to have a finite queue size. If your order doesn't get into the queue at an individual second then you will have an arbitrage opportunity into the next queue, assuming you can quickly calculate the impact your order would have on price. My thought would be a centralized server that serves both markets or some sort synchronous communication until an order has been authenticated on both sides would you be able to place a new order. So pricing is reflected synchronously.

    ReplyDelete
  12. There was a time when the University of Chicago was known for cutting edge finance. As a graduate, it is sad for me to see that biased research by so called professors who do not have a full understanding of the markets they are researching is now being supported, and even taught by otherwise respectable economists like Cochrane. It is time for not just Mr. Cochrane, but also other Grumpy Economists in the world's best academic institution to realize they need to add, not just one or two, but a whole lot of Grumpy Computer Scientists to their ranks to understand the risks, rewards and nature of modern markets. This is what the industry has done and financial academia is not only left behind but has become hostile to this new world that it fails to understand. In an attempt to publish populist propaganda about the "social wastefulness of HFT" all considerations of both free market principles and computational feasibility is thrown out the window. There is no mention that the modernization of the market, the direct market access, the drive to technology and speed has been initiated by Clinton era deregulation in order to "democratize" access to markets, which was monopolized by the world's largest financial institutions. There is no mention that this goal was achieved by allowing small firms and technologically advanced players to replace the Goldmans and Citis and JPMorgans of the world in both market making and speculative trading with immensely reduced risk and increased liquidity and tighter spreads.

    The only hope right now is that while being misled by both the academia and the media, fundamental investors, personal or institutional, will do their own homework to realize that they would be shooting themselves in the foot by arguing, lobbying, regulating against HFT. Transaction taxes, minimum holding periods, batch auctions... All of these will severely undermine the investors' ability to open and close positions efficiently at the best prices available. All of these so-called improvements instead will drive smaller and innovative firms away from the market making business, leaving the investors in the hands of the big banks and their liquidity traps, including huge spreads of the old days.

    Mr. Cochrane and his fellow economists should first explain and come to terms with the empirical observation that markets featuring high levels of HFT activity have significantly less transaction costs (including spreads) for fundamental investors, while other markets lack liquidity and operate on much larger spreads (ever buy options?). Perhaps then they can present some real research in the field. I would love to see a measure of how many billions of dollars in spreads and transaction costs HFT is saving investors, or how the profit that HFT is supposed to be extracting from fundamental investors per volume is a pitifully low percentage of the profit that big slow market makers of large spread days were extracting.

    Of course the bigger problem here is that the economists of Chicago have yet to come to terms with some of the principal discoveries of their own forebears. It is sad to see that people teaching at the school of Milton Friedman do not realize it is socially wasteful for professors to determine what is socially wasteful when there are efficient markets to do it for us. I think there is only one lesson to be learned from the Budish paper. Papers with concepts of "social wastefulness" should never be taken seriously as rigorous academic research, but should be seen for what they are: disguised delivery vehicles for personal opinion and bias.

    ReplyDelete
    Replies
    1. HFT isn't finance. It's a development. Without an electronic market, there wouldn't be HFT, but the principles of Finance would still be the same.

      Delete
    2. "Papers with concepts of "social wastefulness" should never be taken seriously as rigorous academic research, but should be seen for what they are: disguised delivery vehicles for personal opinion and bias" - yes, unless there is a well documented externality that leaves little doubt as to its existence. Obviously, not in this case

      Delete
  13. "if it is advantageous to specify a minimum tick size, so prices become discrete"
    Others have proposed that abolishing that minimum is precisely the response we should take to HFT! Why are discrete prices supposed to be a public good anyway?

    ReplyDelete
    Replies
    1. See Larry Harris at USC. Lots of papers describing that a minimum tic size constraint increases liquidity. Not sure I buy it, but the regulators did.

      Delete
    2. Do both. Discretize the time, make continuous the price.
      The reason minimum tick size increases liquidity is because of price-time precedence, which in continuous trading means tiny improvements in lit price cuts the queue. When everyone is given a chance to react during each discretization period, that problem goes away.
      The discretization interval is the correct social parameter to set, it is the frequency at which we care about price discovery. Let the market set the cost of this. Discretizing price is backwards, it says we'll always pay the winner this much, discover price as quickly as you can.

      Delete
  14. Can someone please explain what problem discrete times are supposed to solve? There is an HFT arms race, some people profit from this, and everyone else gets a more efficient market in return for their hypothetical losses because they do not trade as quickly. What about this needs correcting with limits on trading speed?

    ReplyDelete
  15. Discreet prices?? I'm a Macro guy and I haven't seen any paper that justifies removing HFT from the market. I do believe better boundaries for the opening and closing of a market are needed, though. I also believe perfect and imperfect information are the backbone assumptions for economic theory.

    When I put through a predetermined buy or sell order (of any size) I don't discriminate in who is on the other side. When HF traders are able to drive up/down the price of a security because they have algorithms that can read/translate that info ms before the market closes, etc. then I have a problem.

    Won't limiting HFT to minimum tick sizes just create a floor in the variable of time? Like a black hole..?

    ReplyDelete
  16. This article and the paper it quotes show a great deal of misunderstanding of how markets work. The reason there are these arbitrage opportunities is because a buyer will just buy E-minis (for convenience, because he has a short position in E-minis and wants to close it) and not the SPY. Arbitrageurs see the opportunity and react, moving the SPY in line with the E-mini. And things will always happen in this order. In a continuous market, the SPY will move 10 ms later, in a 1 sec batch market, it will happen the next second at the next batch, you will never have perfect correlation, in fact, the proposed "solution" will make it worse! By t he way, it is probably one of those arbitrageurs who sold some of the E-minis to the buyer, enhancing the size and price on the offer, knowing that he could hedge himself at a small profit on the SPY, in effect knitting markets together (he is displaying liquidity coming from the SPY on the E-mini book). This guy will probably not be there in a batch auction market if he is not "sure" he can hedge himself reasonably well and within a short period of time, making the liquidity worse. By the way, one would also need to make ALL (futures, fx, bonds, european) markets batched and perfectly synchronized.

    ReplyDelete

Comments are welcome. Keep it short, polite, and on topic.

Thanks to a few abusers I am now moderating comments. I welcome thoughtful disagreement. I will block comments with insulting or abusive language. I'm also blocking totally inane comments. Try to make some sense. I am much more likely to allow critical comments if you have the honesty and courage to use your real name.